Estequiometría de reactivos y productos en la combustión de benceno (6125)

, por F_y_Q

La combustión del benceno (\ce{C_6H_6}) da como resultado la formación de dióxido de carbono y agua. Si se obtuvieron 25.8 L de dióxido de carbono, medidos en condiciones normales, calcula:

a) Los gramos de agua que se formaron.

b) El volumen de benceno que reaccionó.

c) El volumen del aire, medido a 17\ ^oC y 0.86 atm, que se necesitó.

Considera que la densidad del benceno es igual a 0.88 g/mL y que el contenido de oxígeno en el aire es del 20\ \% en volumen.

P.-S.

En primer lugar, debes escribir la ecuación de combustión debidamente ajustada para poder ver la estequiometría de los reactivos y productos:

\color[RGB]{2,112,20}{\textbf{\ce{C6H6(l) + 15/2 O2(g) -> 6CO2(g) + 3H2O(l)}}}


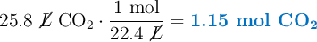
Ahora conviertes en mol el volumen de \ce{CO_2} que se ha obtenido:

25.8\ \cancel{L}\ \ce{CO2}\cdot \frac{1\ \text{mol}}{22.4\ \cancel{L}} = \color[RGB]{0,112,192}{\textbf{1.15 mol \ce{CO2}}}

a) Aplicas la estequiometría entre el \ce{CO_2} y el \ce{H_2O}:

1.15\ \cancel{\ce{mol\ CO2}}\cdot \frac{3\ \cancel{\text{mol}}\ \ce{H2O}}{6\ \cancel{\ce{mol\ CO2}}}\cdot \frac{18\ g}{1\ \cancel{\text{mol}}} = \fbox{\color[RGB]{192,0,0}{\textbf{10.3 g \ce{H2O}}}}


b) Ahora relacionas el \ce{CO_2} con el \ce{C_6H_6} y conviertes la masa de benceno en volumen usando la densidad:

1.15\ \cancel{\ce{mol\ CO2}}\cdot \frac{1\ \cancel{\text{mol}}\ \ce{C6H6}}{6\ \cancel{\ce{mol\ CO2}}}\cdot \frac{78\ \cancel{g}}{1\ \cancel{\text{mol}}}\cdot \frac{1\ mL}{0.88\ \cancel{g}} = \fbox{\color[RGB]{192,0,0}{\textbf{17.0 mL \ce{C6H6}}}}


c) Primero calculas los moles de \ce{O_2} necesarios:

1.15\ \cancel{\ce{mol\ CO2}}\cdot \frac{7.5\ \ce{mol\ O2}}{6\ \cancel{\ce{mol\ CO2}}} = \color[RGB]{0,112,192}{\textbf{1.44 mol \ce{O2}}}

Conviertes estos moles de oxígeno en volumen, en las condiciones dadas:

V = \frac{nRT}{P} = \frac{1.44\ \cancel{\text{mol}}\cdot 0.082\ \frac{\cancel{\text{atm}}\cdot L}{\cancel{K}\cdot \cancel{\text{mol}}}\cdot 290\ \cancel{K}}{0.86\ \cancel{\text{atm}}} = \color[RGB]{0,112,192}{\textbf{39.8 L \ce{O2}}}

Pero debes calcular el volumen de aire. Para ello, debes tener en cuenta la concentración de oxígeno en el aire:

39.8\ \cancel{\ce{L\ O2}}\cdot \frac{100\ \text{L\ aire}}{20\ \cancel{\ce{L\ O2}}} = \fbox{\color[RGB]{192,0,0}{\bf 199\ L\ aire}}