Espacio que recorre una motocicleta que parte del reposo 0001

, por F_y_Q

Calcula el espacio recorrido por una motocicleta que partió del reposo con una aceleracion de 0,5\ m\cdot s^{-2} durante 10 minutos.

P.-S.

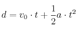
La ecuación del espacio recorrido por un sistema que tiene un movimiento rectilíneo uniformemente acelerado es:

d = v_0\cdot t + \frac{1}{2}a\cdot t^2

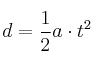
Al partir del reposo la v_0 es cero y la ecuación queda como: d = \frac{1}{2}a\cdot t^2
El tiempo ha de estar en segundos para que los datos sean homogéneos, es decir, estén en las mismas unidades. Los diez minutos equivalen a 600 segundos:

d = \frac{1}{2}\cdot 0,5\frac{m}{s^2}\cdot (600)^2\ s^2 = \bf 9\cdot 10^4\ m