Equivalencia entre quilate y porcentaje en masa 0001

, por F_y_Q

¿Cuál es la equivalencia entre un quilate y la concentración en porcentaje en masa?

P.-S.

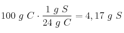
El quilate, en aleaciones, equivale a una veinticuatroava parte del total (expresado en gramos). Eso quiere decir que en 24 g de aleación habría 1 g del metal que nos interesa. Para saber su equivalencia en porcentaje en masa llamaremos C a la aleación y S al metal que nos interesa:

100\ g\ C\cdot \frac{1\ g\ S}{24\ g\ C} = 4,17\ g\ S

Como está referido a 100 g de aleación, el porcentaje sería \bf 4,17\%.