Efecto de la fuerza sobre la velocidad de dos vehículos (6616)

, por F_y_Q

Sobre un camión y un coche que van a 72 km/h actúan sendas fuerzas resultantes de 4 000 N (para el camión en el mismo sentido de la velocidad y para el coche en sentido contrario). Si la masa del camión es de 3 000 kg y la del coche es de 1 000 kg:

a) Calcula la aceleración de cada uno.

b) ¿Cuánto tiempo tardará el coche en pararse?

P.-S.

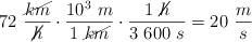
Para que el problema sea homogéneo es necesario que la velocidad de ambos vehículos esté expresada en unidad SI:

72\ \frac{\cancel{km}}{\cancel{h}}\cdot \frac{10^3\ m}{1\ \cancel{km}}\cdot \frac{1\ \cancel{h}}{3\ 600\ s} = 20\ \frac{m}{s}

a) Las aceleraciones las obtienes a partir de la segunda ley de la dinámica:

F = m\cdot a\ \to\ a  = \frac{F}{m}

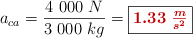
Sustituyes los valores para el camión y el coche y calculas:

a_{ca} = \frac{4\ 000\ N}{3\ 000\ kg} = \fbox{\color[RGB]{192,0,0}{\bm{1.33\ \frac{m}{s^2}}}}


a_{co} = \frac{4\ 000\ N}{1\ 000\ kg} = \fbox{\color[RGB]{192,0,0}{\bm{4\ \frac{m}{s^2}}}}


b) Como la fuerza sobre el coche tiene sentido contrario a su movimiento debes considerar la aceleración como negativa. La velocidad final será cero:

\cancelto{0}{v} = v_0 - at\ \to\ t = \frac{-v_0}{-a} = \frac{-20\ \frac{\cancel{m}}{\cancel{s}}}{-4\ \frac{\cancel{m}}{s\cancel{^2}}} = \fbox{\color[RGB]{192,0,0}{\bf 5\ s}}}