Ecuación de una onda electromagnética y dirección del campo magnético (7801)

, por F_y_Q

Una onda electromagnética plana, que está polarizada, tiene un campo eléctrico de amplitud 3 N/C y una frecuencia de 1 MHz.

a) Determina la ecuación de onda que representa al campo eléctrico si la onda se propaga en el eje Y, estando el campo polarizado en el eje Z.

b) Calcula la dirección de polarización del campo magnético.

P.-S.

Las ondas electromagnéticas están formadas por un campo eléctrico y otro magnético que son perpendiculares entre sí.

a) Si la onda es armónica, su ecuación tiene la forma:

\color[RGB]{2,112,20}{\bm{\vec{E}(y,t) = \vec{E}_0\cdot sen(\omega\cdot t - k\cdot y)}}

Al partir del valor de la frecuencia puedes obtener la frecuencia angular y el número de onda:

\omega = 2\pi\cdot \nu = 2\pi\cdot 10^6\ Hz = \color[RGB]{0,112,192}{\bm{6.28\cdot 10^6\ \frac{rad}{s}}}

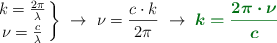
El número de onda es:

\left k = \frac{2\pi}{\lambda} \atop \nu = \frac{c}{\lambda} \right \}\ \to\ \nu = \frac{c\cdot k}{2\pi}\ \to\ \color[RGB]{2,112,20}{\bm{k = \frac{2\pi\cdot \nu}{c}}}

El valor lo obtienes al sustituir:

k = \frac{2\pi\cdot 10^6\ \cancel{s^{-1}}}{3\cdot 10^8\ m\cdot \cancel{s^{-1}}} = \color[RGB]{0,112,192}{\bm{2.09\cdot 10^{-2}\ m^{-1}}}

La ecuación de la onda, dado que la onda está polaizada en el eje Z y se propaga en el sentido positivo del eje Y, queda como:

\fbox{\color[RGB]{192,0,0}{\bm{\vec{E}(y,t) = 3\cdot sen(6.28\cdot 10^6\cdot t - 2.09\cdot 10^{-2}\cdot y)\ (\vec{k})\ \left(\frac{N}{C} \right)}}}


b) Dado que el campo magnético es perpendicular al campo eléctrico en cada punto, y dado que el campo eléctrico se propaga en la dirección Y y está polarizado en la dirección Z, la dirección del campo magnético será la del eje X.