Ecuación de onda de la ola que hace el público de un estadio (6418)

, por F_y_Q

En un estadio el público se hace la ola para celebrar la buena actuación del equipo local. La ola es tan grande que dos espectadores de la misma fila separados por un mínimo de 50 m se mueven igual y lo hacen cada 10 s.

a) Si se ’’modelizase’’ esta ola en el estadio como una onda, ¿de qué tipo de onda se trataría? Calcula su longitud de onda y la pulsación (frecuencia angular).

b) Un espectador se mueve 1.0 m verticalmente cuando se levanta y se sienta al hacer la ola. Escribe la ecuación del movimiento de este espectador considerando que describe un movimiento armónico simple y que en el instante inicial está sentado, es decir, en su posición mínima.

c) Escribe la ecuación de ondas de la ola.

P.-S.

a) La ola que describe el comportamiento de la onda es una onda mecánica transversal. Es mecánica porque se propoga en un medio (público) y transversal porque la vibración es perpendicular a la propagación.
La longitud de onda es \fbox{\color[RGB]{192,0,0}{\bm{\lambda = 50\ m}}} porque coincide con la distancia entre espectadores que "vibran" a la vez. La pulsación es:

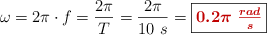
\omega = 2\pi\cdot f = \frac{2\pi}{T} = \frac{2\pi}{10\ s} = \fbox{\color[RGB]{192,0,0}{\bm{0.2\pi\ \frac{rad}{s}}}}


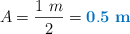
b) La amplitud de vibración es:

A = \frac{1\ m}{2} = \color[RGB]{0,112,192}{\bf 0.5\ m}

La ecuación de la vibración del espectador es:

\color[RGB]{0,112,192}{\bm{y(t) = A\cdot sen(\omega\cdot t + \theta_0)}}

El enunciado te indica que para t = 0 s la posición del espectador es y = -A:

-A = A\cdot sen\ (\cancelto{0}{0.2\pi\cdot t} + \theta_0)\ \to\ sen\ \theta_0 = - 1\ \to\ \color[RGB]{0,112,192}{\bm{\theta_0 = - \frac{\pi}{2}\ rad}}

La ecuación que describe el movimiento del espectador queda como:

\fbox{\color[RGB]{192,0,0}{\bm{y(t) = 0.5\cdot sin\ \left(0.2\pi\cdot t - \frac{\pi}{2}\right)}}}


c) La ecuación de ondas de la ola sigue la forma:

\color[RGB]{0,112,192}{\bm{y(x,t) = A\cdot cos\ (\omega\cdot t - k\cdot x)}}

Conoces todo excepto el número de ondas k que se puede obtener con el valor de la longitud de onda:

k = \frac{2\pi}{\lambda} = \frac{2\pi}{50\ m} = \color[RGB]{0,112,192}{\bm{0.04\pi\ m^{-1}}}

La ecuación de ondas queda como:

\fbox{\color[RGB]{192,0,0}{\bm{y(x,t) = 0.5\cdot cos\ \left(0.2\pi\cdot t - 0.04\pi\cdot x - \frac{\pi}{2}\right)}}}