Distancia de dos móviles a un poste después de un tiempo

, por F_y_Q

Dos móviles parten de un mismo punto y se mueven en la misma dirección y sentido con velocidades constantes de 7 m/s y 3 m/s hacia un poste situado a 100 m de distancia. Calcula la distancia de cada móvil al poste al cabo de 15 s.

P.-S.

Para hacer el ejercicio vamos calcular la posición de cada móvil a los 15 s y luego calculamos la distancia desde sus posiciones a la del poste.
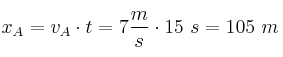
x_A = v_A\cdot t = 7\frac{m}{s}\cdot 15\ s = 105\ m
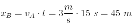
x_B = v_A\cdot t = 3\frac{m}{s}\cdot 15\ s = 45\ m
El móvil más rápido, que hemos llamado A, habrá sobrepasado el poste y estará a una distancia: d_A = (105 - 100)\ m = \bf 5\ m
En el caso del móvil más lento, el móvil B, no habrá llegado al poste aún. La distancia que lo separa del poste será: d_A = (100 - 45)\ m = \bf 55\ m
Al ser distancias, han de ser positivas.