Distancia a la que se encuentra una tormenta (4509)

, por F_y_Q

Se observa la luz un relámpago y se escucha el trueno 5 segundos después. ¿A qué distancia se produjo el rayo? Considera la velocidad del sonido en el aire igual a 1 200 km/h.

P.-S.

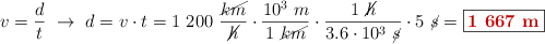
La distancia que recorrerá el sonido hasta llegar al punto en el que se encuentra el observador se puede obtener a partir de la velocidad de propagación del sonido y el tiempo que transcurre hasta escuchar el trueno. Hay que tener en cuenta que las unidades deben ser homogéneas. Si aplicas la fórmula y haces la conversión de unidades en un único paso:

v = \frac{d}{t}\ \to\ d = v\cdot t = 1\ 200\ \frac{\cancel{km}}{\cancel{h}}\cdot \frac{10^3\ m}{1\ \cancel{km}}\cdot \frac{1\ \cancel{h}}{3.6\cdot 10^3\ \cancel{s}}\cdot 5\ \cancel{s} = \fbox{\color[RGB]{192,0,0}{\bf 1\ 667\ m}}


Descarga el enunciado y la resolución del problema en formato EDICO si lo necesitas.