Fuerza magnética sobre cada lado de una espira rectangular dentro de un campo magnético (7433)

, por F_y_Q

Por una espira rectangular de 10 y 20 cm de lado, situada en el plano XY, circula una corriente de 5 A en el sentido horario. Si se aplica un campo magnético de 2 T dirigido en el sentido positivo del eje OY, ¿cuál es la fuerza magnética sobre cada lado de la espira? ¿Qué movimiento realizará la espira?

P.-S.

Clicando en la miniatura puedes ver el esquema con más detalle.

La situación descrita se puede representar como:

Observa que los lados 2 y 4 son perpendiculares al campo magnético pintado en rojo, mientras que los lados 1 y 3 son paralelos. Si aplicas la ley de Laplace para el cálculo de la fuerza magnética:

\vec{F} = I\cdot (\vec{l}\times \vec {B}) = \color[RGB]{2,112,20}{\bm{I\cdot l\cdot B\cdot sen\ \alpha}}

Para los lados 1 y 3 el ángulo es nulo y la fuerza será cero también: \fbox{\color[RGB]{192,0,0}{\bm{F_1 = F_3 = 0}}}

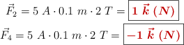
Para los lados 2 y 4 la fuerza será máxima porque el ángulo es perpendicular, pero si atiendes al sentido de la corriente, que está pintado en verde, verás que un ángulo es de 90 ^o y el otro de -90^o. Las fuerzas serán, aplicando la regla de la mano derecha:

\left \vec{F}_2 = 5\ A\cdot 0.1\ m\cdot 2\ T = {\fbox{\color[RGB]{192,0,0}{\bm{1\ \vec{k}\ (N)}}}} \atop \vec{F}_4 = 5\ A\cdot 0.1\ m\cdot 2\ T = {\fbox{\color[RGB]{192,0,0}{\bm{-1\ \vec{k}\ (N)}}}} \right


La espira girará en sentido horario por acción del par de fuerzas.