Dióxido de carbono emitido en un viaje y rendimiento del motor

, por F_y_Q

La combustión del octano, uno de los componentes de la gasolina, genera el gas de efecto invernadero CO_2, de acuerdo con la siguiente ecuación que se lleva a cabo con exceso de oxígeno:
C_8H_{18}(l) + O_2(g)\ \to\ CO_2(g) + H_2O(g)
Considerando un vehículo cuyo consumo es de 12 km/L, calcula:
a) El volumen de gasolina, en galones, que se consume en un trayecto desde Duitama a Bogotá, que es de 200 km, sabiendo que un galón equivale a 3,785 litros.
b) El volumen de CO_2 que se genera, a 20^oC y a presión atmosférica (2 575 m de altitud) si se considera que la densidad de la gasolina es 680 g/L y que el porcentaje de pureza de octano en gasolina es 60\%. Considera que la masa molar del CO_2 es 44 kg/kmol.
c) El rendimiento de la reacción si, en las mismas condiciones, es comprobó que el volumen de CO_2 generado fue de 12\ 000\ L.

P.-S.

Lo primero que debemos hacer es ajustar la ecuación química que tiene lugar:

C_8H_{18}(l) + \frac{25}{2}O_2\ \to\ 8CO_2(g) + 9H_2O(g)


a) Para obtener el volumen de gasolina basta con usar con dos factores de conversión:

200\ km\cdot \frac{1\ L}{12\ km}\cdot \frac{1\ gal}{3,785\ L} = \bf 4,4\ galones


b) La presión atmosférica a la temperatura y altitud dadas es de 563 mm Hg, lo que equivale a:
563\ mm\ Hg\cdot \frac{1\ atm}{760\ atm} = 0,74\ atm
La masa de gasolina que se quema en el trayecto se obtiene a partir de la densidad de la gasolina. Si aplicamos la riqueza de la gasolina en octano podremos saber la masa de octano:
16,67\ L\ gas\cdot \frac{680\ g}{1\ L}\cdot \frac{60\ g\ C_8H_{18}}{100\ g\ gas}\frac {1\ mol}{44\ g} = 154,6\ mol\ C_8H_{18}
Si aplicamos la estequiometría de la reacción podremos obtener los moles de CO_2 que se producen y, en las condiciones dadas, convertirlo a volumen:
154,6\ mol\ C_8H_{18}\cdot \frac{8\ mol\ CO_2}{1\ mol\ C_8H_{18}} = 1\ 237\ mol\ CO_2

PV = nRT\ \to\ V = \frac{nRT}{P} = \frac{1\ 237\ mol\cdot 0,082\frac{atm\cdot L}{K\cdot mol}\cdot 293\ K}{0,74\ atm} = \bf 4,016\cdot 10^4\ L\ CO_2


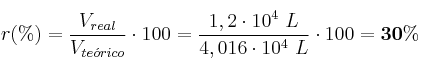
c) Para saber el rendimiento solo debemos comparar el volumen teórico, calculado en el apartado anterior, con el volumen real que convertimos a litros para poder compararlos:

r(\%) = \frac{V_{real}}{V_{te\acute{o}rico}}\cdot 100 = \frac{1,2\cdot 10^4\ L}{4,016\cdot 10^4\ L}\cdot 100 = \bf 30\%