Densidad del osmio en unidades SI (1332)

, por F_y_Q

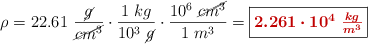
La densidad del osmio (Os) es 22.61\ g\cdot cm^{-3}. Expresa su densidad en unidades del SI.

P.-S.

Las unidades de masa y volumen en el Sistema Internacional son, respectivamente, kg y m ^3. Debes usar dos factores de conversión para hacer expresar la densidad en unidades SI:

\rho = 22.61\ \frac{\cancel{g}}{\cancel{cm^3}}\cdot \frac{1\ kg}{10^3\ \cancel{g}}\cdot \frac{10^6\ \cancel{cm^3}}{1\ m^3} = \fbox{\color[RGB]{192,0,0}{\bm{2.261\cdot 10^4\ \frac{kg}{m^3}}}}