Deducción de una ecuación: análisis de dimensiones 0001

, por F_y_Q

Deduce una formula física que nos permita expresar el volumen de agua por unidad de tiempo (Q) que sale por un agujero sabiendo que depende de:

S = densidad ; C = constante ; D = diámetro del orificio ; P = presión

P.-S.

La mejor manera de hacer este ejercicio es recurrir al análisis dimensional. El resultado que se quiere es volumen/tiempo, es decir, \frac{[L]^3}{[t]} (expresado en dimensiones). Debemos conseguir ese cociente a partir de una serie de magnitudes que también debemos escribir en forma de dimensiones:
S (densidad) = \frac{[M]}{[L]^3}
D (di\’ametro) = [L]
P (presi\’on) = \frac{[M][L]}{[t]^2[L]^2}
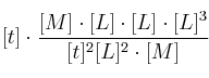
La constante C debe tener dimensión de tiempo, es decir, debemos fijar un tiempo en nuestra ecuación para que podamos aplicarla. Ahora debemos colocar esas dimensiones de manera que obtengamos el resultado que dijimos. Si escribimos la relación C\cdot \frac{P\cdot D}{S} obtendremos:

[t]\cdot\frac{[M]\cdot[L]\cdot[L]\cdot[L]^3}{[t]^2[L]^2\cdot[M]}


Simplificando, podemos comprobar que se cumple la igualdad:

\bf Q =C\cdot \frac{P\cdot D}{S}