Conversión de newton a dina (3405)

, por F_y_Q

¿Cómo calcular el peso de una piedra que esta en newtons en dinas?

P.-S.

Dina es una unidad de fuerza que no es del Sistema Internacional. En ese sistema hay que expresar la longitud en centímetros, la masa en gramos y el tiempo en segundos.

Si tuvieras que calcular el peso usarías la fórmula:

\color[RGB]{2,112,20}{\bf p = m\cdot g}

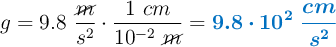
Tendrías que expresar la masa de la piedra en gramos y el valor de «g» en cm\cdot s^{-2}:

g = 9.8\ \frac{\cancel{m}}{s^2}\cdot \frac{1\ cm}{10^{-2}\ \cancel{m}} = \color[RGB]{0,112,192}{\bm{9.8\cdot 10^2\ \frac{cm}{s^2}}}

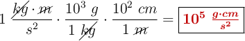
Si ya conoces el peso, que es lo que indica el enunciado, bastaría con hacer el cambio de unidades correspondiente:

N\ \left(\frac{kg\cdot m}{s^2}\right)\ \to\ dy\ \left(\frac{g\cdot cm}{s^2}\right)

Usas dos factores de conversión para saber la equivalencia:

1\ \frac{\cancel{kg}\cdot \cancel{m}}{s^2}\cdot \frac{10^3\ g}{1\ \cancel{kg}}\cdot \frac{10^2\ cm}{1\ \cancel{m}} = \fbox{\color[RGB]{192,0,0}{\bm{10^5\ \frac{g\cdot cm}{s^2}}}}


Por lo tanto, \fbox{\color[RGB]{192,0,0}{\bm{1\ N \equiv 10^5\ dy}}}