Densidad de una esfera (3066)

, por F_y_Q

¿Cuál es la densidad de una esfera que tiene una masa de 5 mg y un radio de 3 cm? Expresa el resultado en g/cm^3

P.-S.

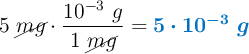
El primer paso puede ser expresar la masa en gramos haciendo un cambio de unidades:

5\ \cancel{mg}\cdot \frac{10^{-3}\ g}{1\ \cancel{mg}} = \color[RGB]{0,112,192}{\bm{5\cdot 10^{-3}\ g}}

El volumen de una esfera lo puedes calcular a partir de la expresión:

\color[RGB]{2,112,20}{\bm{V = \frac{4}{3}\pi R^3}}

Sustituyes el valor del radio y calculas:

V = \frac{4}{3}\cdot 3.14\cdot 3^3\ cm^3 = \color[RGB]{0,112,192}{\bm{113\ cm^3}}

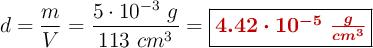
La densidad, que es el cociente entre la masa y el volumen, será:

d = \frac{m}{V} = \frac{5\cdot 10^{-3}\ g}{113\ cm^3} = \fbox{\color[RGB]{192,0,0}{\bm{4.42\cdot 10^{-5}\ \frac{g}{cm^3}}}}