Densidad de una esfera 0001

, por F_y_Q

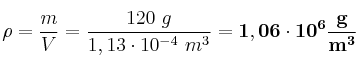
Se tiene una esfera de diámetro 0,06 m. Haya su densidad si su masa es de 120 g.

P.-S.

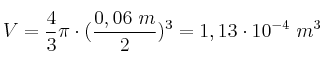
El volumen de una esfera es: V = \frac{4}{3}\pi R^3

V = \frac{4}{3}\pi\cdot (\frac{0,06\ m}{2})^3 = 1,13\cdot 10^{-4}\ m^3


\rho = \frac{m}{V} = \frac{120\ g}{1,13\cdot 10^{-4}\ m^3} = \bf 1,06\cdot 10^6\frac{g}{m^3}