Densidad de un sistema en unidades distintas 0001

, por F_y_Q

Hallar la densidad de un cuerpo sabiendo que su masa es 20 g y su volumen es un litro. Expresa el resultado en g/L y en g/mL.

P.-S.

Aplicamos la definición de densidad y hacemos el cociente entre la masa y el volumen del cuerpo:

d = \frac{m}{V} = \frac{20\ g}{1\ L} = \bf 20\ \frac{g}{L}


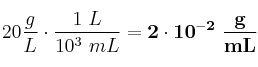
Hacemos ahora el cambio en la unidad de volumen:

20\frac{g}{L}\cdot \frac{1\ L}{10^3\ mL} = \bf 2\cdot 10^{-2}\ \frac{g}{mL}