Densidad de un sistema en unidades SI 0001

, por F_y_Q

Calcula la densidad de un sistema cuya masa es de 500 g y ocupa un volumen de 125 m^3.

P.-S.

Podemos realizar el ejercicio de dos maneras: a) calculando la densidad y luego haciendo la conversión, b) haciendo la conversión y luego calculando la densidad.
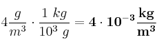
a)

d = \frac{m}{V} = \frac{500\ g}{125\ m^3} = 4\frac{g}{m^3}


Ahora hacemos la conversión:

4\frac{g}{m^3}\cdot \frac{1\ kg}{10^3\ g} = \bf 4\cdot 10^{-3}\frac{kg}{m^3}


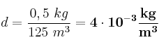
b)

500\ g\cdot \frac{1\ kg}{10^3\ g} = 0,5\ kg


Ahora calculamos la densidad:

d = \frac{0,5\ kg}{125\ m^3} = \bf 4\cdot 10^{-3}\frac{kg}{m^3}