Densidad de un gas y ecuación de los gases 0001

, por F_y_Q

Calcula la densidad del CO_2 cuando está a 30 ºC y a una presión de 650 mm Hg.

P.-S.

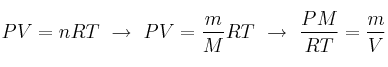
La densidad se define como \rho = \frac{m}{V} y el CO_2 es un gas que podemos tratar como un gas ideal. Si aplicamos la ecuación de los gases ideales, teniendo en cuenta que los moles de gas se pueden expresar como el cociente entre su masa y su masa molecular:
$PV = nRT\ \to\ PV = \frac{m}{M}RT\ \to\ \frac{PM}{RT} = \frac{m}{V}
Vemos que podemos expresar la densidad en función de la presión, la temperatura y la masa molecular, datos que conocemos. Solo tenemos que sustituir:

\rho = \frac{\frac{650\ mmHg}{760\ mmHg/atm}\cdot 44\frac{g}{mol}}{0,082\frac{atm\cdot L}{K\cdot mol}\cdot 303\ k} = \bf 1,51\frac{g}{L}