Densidad de la plata conociendo las dimensiones y masa de una barra de ese metal (5133)

, por F_y_Q

Una barra de plata (Ag) de 40 cm de longitud por 25 cm de ancho y 15 cm de espesor tiene una masa de 157.5 kg. ¿Cuál es la densidad de la plata?

P.-S.

Con las dimensiones de la barra podemos calcular el volumen:

V = 40\ cm\cdot 25\ cm\cdot 15\ cm = \color[RGB]{0,112,192}{\bm{1.5\cdot 10^4\ cm^3}}

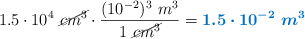
Para trabajar en el Sistema Internacional de unidades debemos convertir el volumen a m ^3:

1.5\cdot 10^4\ \cancel{cm^3}\cdot \frac{(10^{-2})^3\ m^3}{1\ \cancel{cm^3}} = \color[RGB]{0,112,192}{\bm{1.5\cdot 10^{-2}\ m^3}}

Ahora podemos calcular la densidad de la plata usando la definición de la densidad:

\rho_{\ce{Ag}} = \frac{m}{V} = \frac{157.7\ kg}{1.5\cdot 10^{-2}\ m^3} = \fbox{\color[RGB]{192,0,0}{\bm{1.05\cdot 10^4\ \frac{kg}{m^3}}}}