De km/h a m/s (2641)

, por F_y_Q

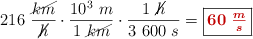
Una partícula se mueve con velocidad constante de 216 km/h. Expresa esta velocidad en m/s.

P.-S.

Debes hacer un cambio de unidades usando factores de conversión:

216\ \frac{\cancel{km}}{\cancel{h}}\cdot \frac{10^3\ m}{1\ \cancel{km}}\cdot \frac{1\ \cancel{h}}{3\ 600\ s} = \fbox{\color[RGB]{192,0,0}{\bm{60\ \frac{m}{s}}}}


RESOLUCIÓN DEL PROBLEMA EN VÍDEO.