Constante elástica efectiva de dos resortes en serie (7078)

, por F_y_Q

¿Cuál es el valor de la constante efectiva de dos resortes idénticos conectados en serie que está utilizando un artista para una instalación de la próxima bienal, si la constante de cada uno de ellos es de 200 N/m y sobre los cuales cuelga un determinado peso?

P.-S.

Como los resortes están conectados en serie, la constante recuperadora efectiva sigue la ecuación:

\frac{1}{k_{ef}}= \frac{1}{k_1} + \frac{1}{k_2}\ \to\ \color[RGB]{2,112,20}{\bm{k_{ef} = \frac{k_1\cdot k_2}{k_1 + k_2}}}

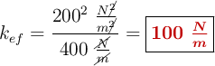
Al ser resortes idénticos obtienes:

k_{ef} = \frac{200^2\ \frac{N\cancel{^2}}{m\cancel{^2}}}{400\ \frac{\cancel{N}}{\cancel{m}}}= \fbox{\color[RGB]{192,0,0}{\bm{100\ \frac{N}{m}}}}