Constante elástica de un resorte a partir de los datos de una tabla (7041)

, por F_y_Q

Para determinar la constante elástica de un muelle en un laboratorio se usan distintos pesos y se miden las longitudes absolutas del muelle cuando se le cuelgan los pesos. Los datos se recogen en la siguiente tabla:

\begin{tabular}{|c|c|c|c|c|c|} \hline p(N)&0&49.7&62.1&91.9&112 \\\hline L(cm)&0&20&25&37&45 \\\hline \end{tabular}

a) Dibuja la gráfica p-L.

b) Calcula la constante elástica del muelle.

c) Calcula el peso que se debe colgar para que la deformación del muelle sea de medio metro.

d) Si colgamos una masa de 263 g, ¿cuál será la longitud final del muelle?

P.-S.

a) La gráfica p-L la obtienes si representas el peso en el eje Y y la deformación en el eje X.


Si clicas en la miniatura puedes ver la gráfica con más detalle.

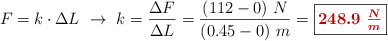
b) Como has podido ver en la gráfica, el valor de la constante la puedes obtener al hacer la representación gráfica con Geogebra. El modo de calcular la pendiente de la recta a partir de dos puntos de tabla, que será la constante elástica del muelle, es:

F = k\cdot \Delta L\ \to\ k = \frac{\Delta F}{\Delta L} = \frac{(112 - 0)\ N}{(0.45 - 0)\ m} = \fbox{\color[RGB]{192,0,0}{\bm{248.9\ \frac{N}{m}}}}


c) De modo gráfico, puedes hacer coincidir la coordenada 0.5 m con la recta que une los puntos en la gráfica y obtienes la coordenada en el eje Y, que es el valor del peso que buscas.

Clica en la miniatura para ver la gráfica con más detalle.

De manera analítica lo haces aplicando la ecuación de la ley de Hooke:

p  =248.9\ \frac{N}{\cancel{m}}\cdot 0.5\ \cancel{m} = \fbox{\color[RGB]{192,0,0}{\bf 124.4\ N}}


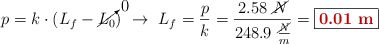
d) Observa que este apartado te da el valor de la MASA pero no del peso. El primer paso es calcular el peso que corresponde a esa masa. Usa la masa en kilogramos para que las unidades sean homogéneas:

p = m\cdot g = 0.263\ kg\cdot 9.8\ \frac{m}{s^2} = \color[RGB]{0,112,192}{\bf 2.58\ N}

Si lo haces gráficamente, procediendo como en el apartado anterior pero fijando la coordenada del eje Y, obtienes:


Clica en la miniatura para verla con más detalle.

Aplicando la ley de Hooke, despejas el valor de deformación, que coincidirá con la longitud final porque la inicial es cero:

p = k\cdot (L_f - \cancelto{0}{L_0})\ \to\ L_f = \frac{p}{k} = \frac{2.58\ \cancel{N}}{248.9\ \frac{\cancel{N}}{m}} = \fbox{\color[RGB]{192,0,0}{\bf 0.01\ m}}