Constante elástica de un muelle con los datos de un experimento (7037)
Para determinar la constante elástica de un muelle en un laboratorio se usan distintos pesos y se miden las longitudes absolutas del muelle cuando se le cuelgan los pesos. Los datos se recogen en la siguiente tabla:

a) Dibuja la gráfica p-L.
b) Calcula la constante elástica del muelle.
c) Calcula el peso que se debe colgar para que la longitud del muelle sea de 26 cm.
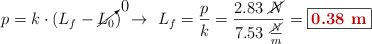
d) Si usamos un peso de 2.83 N, ¿cuál será la longitud del muelle?
Ejercicios FyQ