Constante de deformación de un resorte y trabajo realizado para estirarlo (7021)

, por F_y_Q

Un cuerpo está unido a un resorte que, en posición de equilibrio, tiene una deformación de 3 cm y por medio de una fuerza de 20 N se estira hasta llevarlo a una longitud total de 5 cm. Calcula la constante de deformación y el trabajo realizado.

P.-S.

La elongación que ha sufrido el resorte es la diferencia de longitud:

\Delta x = (5 - 3)\ cm = \color[RGB]{0,112,192}{\bf 2\ cm}

Si aplicas la ley de Hooke puedes despejar el valor de la constante de deformación:

F = k\Delta x\ \to\ k = \frac{F}{\Delta x} = \frac{20\ N}{0.02\ m} = \fbox{\color[RGB]{192,0,0}{\bm{10^3\ \frac{N}{m}}}}


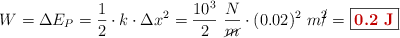
El trabajo realizado por la fuerza es igual a la variación de la energía potencial elástica, que la consideramos en valor absoluto:

W = \Delta E_P = \frac{1}{2}\cdot k\cdot \Delta x^2 = \frac{10^3}{2}\ \frac{N}{\cancel{m}}\cdot (0.02)^2\ m\cancel{^2} = \fbox{\color[RGB]{192,0,0}{\bf 0.2\ J}}