Conservación de energía en un choque con coeficiente de restitución distinto de uno (7428)

, por F_y_Q

Dos esferas de masas m _1 y m _2 están suspendidas de dos hilos paralelos de longitudes L_1 y L_2 respectivamente. En posición de equilibrio las esferas están con sus centros al mismo nivel. La masa m _1 se desvía lateralmente un ángulo \theta _1 y, a partir del reposo, se le deja en libertad. En su descenso choca con m _2 y, tras el impacto se desviará un ángulo máximo \theta _2. Si el coeficiente de restitución es e, determina:

a) Las velocidades de las esferas después de chocar.

b) El ángulo \theta _2 que m _1 se desvía tras el choque.

P.-S.

La esfera 1 es la que se separa de la posición de equilibrio, y lo hace un ángulo \theta _1. Puedes expresar la energía potencial gravitatoria que acumula la esfera 1 en función de la longitud de su hilo y el ángulo. Esta energía potencial debe transformarse en energía cinética y puedes conocer la velocidad con la que choca la esfera 1 contra la esfera 2:

\left \cancel{m_1}\cdot g\cdot h_1 = \dfrac{\cancel{m_1}}{2}\cdot u_1^2 \atop h_1 = L_1\cdot cos\ \theta_1 \right \}\ \to\ \color[RGB]{2,112,20}{\bm{u_1 = \sqrt{2g\cdot L_1\cdot cos\ \theta_1}}}

a) La velocidad de la esfera 1 después del choque puedes escribirla en función del coeficiente de restitución, teniendo en cuenta que la esfera 2 está en reposo inicialmente:

e = \frac{v_2 - v_1}{\cancelto{0}{u_2} - u_1}\ \to\ \color[RGB]{2,112,20}{\bm{v_1 = v_2 + u_1\cdot e}}

En toda colisión se cumple que se conserva la cantidad de movimiento del sistema:

m_1\cdot u_1 + m_2\cdot \cancelto{0}{u_2} = m_1\cdot v_1 + m_2\cdot v_2\ \to\ \color[RGB]{2,112,20}{\bm{v_1 = \frac{m_1\cdot u_1 - m_2\cdot v_2}{m_1}}}

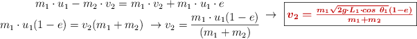
Si igualas ambas ecuaciones puedes obtener el valor de la velocidad de la esfera 2 tras la colisión:

\left m_1\cdot u_1 - m_2\cdot v_2 = m_1\cdot v_2 + m_1\cdot u_1\cdot e \atop m_1\cdot u_1(1 - e) = v_2(m_1 + m_2)\ \to v_2 = \dfrac{m_1\cdot u_1(1 - e)}{(m_1 + m_2)} \right \to\ \fbox{\color[RGB]{192,0,0}{\bm{v_2 = \frac{m_1\sqrt{2g\cdot L_1\cdot cos\ \theta_1} (1 - e)}{m_1 + m_2}}}}


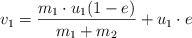
La velocidad de la esfera 1 la obtienes al sustituir en la segunda ecuación:

v_1 = \frac{m_1\cdot u_1(1 - e)}{m_1 + m_2} + u_1\cdot e

\fbox{\color[RGB]{192,0,0}{\bm{v_1 = \frac{m_1\sqrt{2g\cdot L_1\cdot cos\ \theta_1}(1 -e)}{(m_1 + m_2)} + \sqrt{2g\cdot L_1\cdot e^2\cdot cos\ \theta_1}}}}


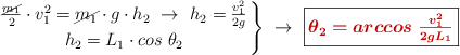
b) Una vez que se produce la colisión, la esfera 1 subirá hasta una altura tal que la energía cinética tras la colisión sea igual a la energía potencial gravitatoria, que puedes escribir en función de un segundo ángulo (\theta _2):

\left \frac{\cancel{m_1}}{2}\cdot v_1^2 = \cancel{m_1}\cdot g\cdot h_2\ \to\ h_2 = \frac{v_1^2}{2g} \atop h_2 = L_1\cdot cos\ \theta_2 \right \}\ \to\ \fbox{\color[RGB]{192,0,0}{\bm{\theta_2 = arccos\ \frac{v_1^2}{2gL_1}}}}


Como v _1 ya está expresada en función de los datos, solo tendrías que calcularla y luego sustituir en esta última ecuación.


Descarga el enunciado y la resolución del problema en formato EDICO si lo necesitas.