Concentración tanto por ciento en masa de una sal (2330)

, por F_y_Q

Cuando se evaporan 50 gramos de una disolución de sulfato de sodio hasta completa sequedad quedan 20 gramos de sal. ¿Cuál es el porcentaje en peso de la sal en la disolución?

P.-S.

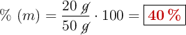
En la disolución inicial había 20 g de sal, que son los que quedan sin evaporar, y el resto era agua. Para determinar el porcentaje en masa solo tienes que hacer el cociente entre la masa de la sal y la masa total:

\%\ (m) = \frac{20\ \cancel{g}}{50\ \cancel{g}}\cdot 100 = \fbox{\color[RGB]{192,0,0}{\bf 40\ \%}}