Concentración porcentaje en volumen de disolución de alcohol 0001
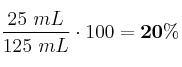
¿Cuál es el porcentaje en volumen de una disolución de alcohol preparada mezclando 25 mL de alcohol y agua suficiente para obtener 125 mL de disolución?
¿Cuál es el porcentaje en volumen de una disolución de alcohol preparada mezclando 25 mL de alcohol y agua suficiente para obtener 125 mL de disolución?