Concentración porcentaje en masa 0001

, por F_y_Q

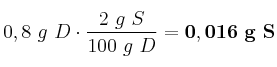
¿Cuántos gramos de soluto y kilogramos de disolvente hay en 0,8 g de disolución al 2\% (m/m)?

P.-S.

Tenemos 0,8 g de disolución y sabemos que su concentración es del 2\%, es decir, que por cada 100 g de disolución habrá 2 g de soluto:

0,8\ g\ D\cdot \frac{2\ g\ S}{100\ g\ D} = \bf 0,016\ g\ S


Por lo tanto habrá:

m_d = m_D - m_S\ \to\ m_d = (0,8 - 0,016)\ g = \bf 0,784\ g


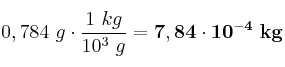
Debemos expresar la masa en kilogramos:

0,784\ g\cdot \frac{1\ kg}{10^3\ g} = \bf 7,84\cdot 10^{-4}\ kg