Concentración normal de una sal 0001

, por F_y_Q

¿Cuál es la normalidad de una disolución que contiene 30 gramos de NaCI en 2 litros de agua?

P.-S.

Se trata de una sal monovalente, por lo que la masa de un equivalente químico coincide con la masa de un mol. Teniendo en cuenta que las masas moleculares son (Na = 23 g/mol) y (Cl = 35,5 g/mol), la masa molecular será: NaCl = (35,5 + 23) g/mol = 58,5 g/mol.

30\ g\ NaCl\cdot \frac{1\ mol}{58,5\ g} = 0,51\ mol\ NaCl\ \equiv 0,51\ eq\ NaCl


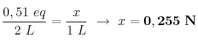
Pero esta sal está disuelta en 2 L de agua. La normalidad se define como los equivalentes disueltos en 1 L de disolución:

\frac{0,51\ eq}{2\ L} = \frac{x}{1\ L}\ \to\ x = \bf 0,255\ N