Concentración g/L y porcentaje en masa 0001

, por F_y_Q

Disolvemos 45 g de hidróxido de sodio en 100 g de agua. Si la densidad de la disolución formada es de 1,35 g/cm^3, ¿cuál es la concentración de la
disolución, en g/L y cuál es su porcentaje en masa?

P.-S.

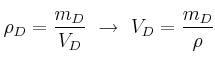
En primer lugar vamos a calcular la masa y volumen de la disolución. La masa será la suma de las masas de soluto y disolvente: 45 + 100 = 145 g.
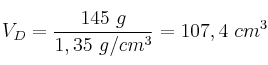
El volumen se puede determinar a partir de la densidad: \rho_D = \frac{m_D}{V_D}\ \to\ V_D = \frac{m_D}{\rho}

V_D = \frac{145\ g}{1,35\ g/cm^3} = 107,4\ cm^3


Debemos expresar el resultado en litros para poder hacer el cálculo de la concentración:

107,4\ cm^3\cdot \frac{1\ L}{10^3\ cm^3} = 1,074\cdot 10^{-1}\ L


La concentración será:

c(g/L) = \frac{m_D}{V_D(L)} = \frac{145\ g}{1,074\cdot 10^{-1}\ L} = \bf 419\ g/L


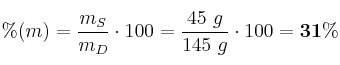
El porcentaje en masa de la disolución será:

\%(m) = \frac{m_S}{m_D}\cdot 100 = \frac{45\ g}{145\ g}\cdot 100 = \bf 31\%