Concentración en gramos por litro y molaridad de una disolución (6336)

, por F_y_Q

Se han disuelto 360 mg de tricloruro de hierro en agua resultando un volumen final de 5 mL de disolución. Calcula la concentración (g/L) y la molaridad de esta disolución.

Masas atómicas: Fe = 55.8 ; Cl = 35.5.

P.-S.

La concentración en g/L es inmediata si aplicas la definición, teniendo en cuenta que la masa debe estar en gramos y el volumen en litros:

c(\textsyle{g\over L}) = \frac{360\cdot 10^{-3}\ g}{5\cdot 10^{-3}\ L} = \fbox{\color[RGB]{192,0,0}{\bm{72\ \frac{g}{L}}}}


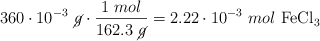
Para calcular la molaridad primero debes saber los moles de \ce{FeCl_3}, siendo la masa molecular del compuesto:

(55.8 + 3\cdot 35.5)\ g = \color[RGB]{0,112,192}{\bm{162.3\ \frac{g}{mol}}}

Los moles son:

360\cdot 10^{-3}\ \cancel{g}\cdot \frac{1\ mol}{162.3\ \cancel{g}} = 2.22\cdot 10^{-3}\ mol\ \ce{FeCl_3}

La molaridad la obtienes al dividir los moles de soluto por el volumen de la disolución, expresado en litros:

M = \frac{2.22\cdot 10^{-3}\ mol}{5\cdot 10^{-3}\ L} = \fbox{\color[RGB]{192,0,0}{\bm{0.444\ \frac{mol}{L}}}}