Concentración de una disolución de CO2 en agua (669)

, por F_y_Q

Disolvemos 3 g del gas \ce{CO_2} en 2.5 L de agua. Calcula la concentración en \%\ (m) de la disolución. Si la densidad de la mezcla final es 0.94 g/mL, ¿cuál es su concentración en g/L?

Dato: \rho_{\ce{H2O}} = 1\ \textstyle{g\over mL} .

P.-S.

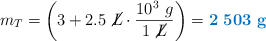
La suma de las masas de gas y de agua te dará la masa total de la mezcla:

m_T = \left(3 + 2.5\ \cancel{L}\cdot \frac{10^3\ g}{1\ \cancel{L}}\right) = \color[RGB]{0,112,192}{\bf 2\ 503\ g}

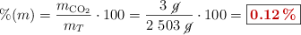
El porcentaje en masa de la mezcla es:

\% (m) = \frac{m_{\ce{CO2}}}{m_T}\cdot 100 = \frac{3\ \cancel{g}}{2\ 503\ \cancel{g}}\cdot 100 = \fbox{\color[RGB]{192,0,0}{\bf 0.12\%}}


Para hacer la concentración en g/L es necesario saber el volumen de la mezcla, a partir del dato de la densidad de la misma:

V_T = 2\ 503\ \cancel{g}\cdot \frac{1\ \cancel{mL}}{0.94\ \cancel{g}}\cdot \frac{1\ L}{10^3\ \cancel{mL}} = \color[RGB]{0,112,192}{\bf 2.66\ L}

La concentración que debes calcular es:

c = \frac{m}{V} = \frac{3\ g}{2.66\ L} = \fbox{\color[RGB]{192,0,0}{\bm{1.13\ \frac{g}{L}}}}