Concentración % (V/V) 0002

, por F_y_Q

Calcula la concentración en \%\ (V/V) y el volumen de disolvente que hay en una disolución de 8,5 L que contiene 500 mL de soluto

P.-S.

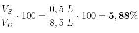
La concentración que nos piden se obtiene haciendo el cociente entre el volumen de soluto y el de disolución, multiplicado por cien. Vamos a expresar los volúmenes en las misma unidad, en litros en este caso:

\frac{V_S}{V_D}\cdot 100 = \frac{0,5\ L}{8,5\ L}\cdot 100 = \bf 5,88\%


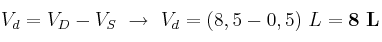
El volumen de disolvente se obtiene por diferencia entre el volumen de la disolución y el de soluto:

V_d = V_D - V_S\ \to\ V_d = (8,5 - 0,5)\ L = \bf 8\ L