Composición de una aleación que se hace reaccionar con ácido

, por F_y_Q

Una aleación metálica de sodio y hierro(II) de 2.00 g de masa se trata con una cantidad suficiente de ácido clorhídrico, desprendiéndose 0.815 L de hidrógeno, medidos en condiciones normales. Calcula:

a) La composición porcentual en masa de aleación.

b) La masa sólida formada.

Na: 23 ; Fe = 56 ; H = 1.

P.-S.

En primer lugar debes escribir la reacción que tiene lugar, debidamente ajustada:

\color[RGB]{2,112,20}{\ce{Na + Fe + 3HCl -> NaCl + FeCl2 + \textstyle{3\over 2}H2}}



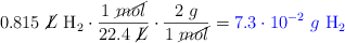
Si estableces una relación másica entre los reactivos y productos de la reacción, la masa de hidrógeno que se obtiene es:

0.815\ \cancel{L}\ \ce{H2}\cdot \frac{1\ \cancel{mol}}{22.4\ \cancel{L}}\cdot \frac{2\ g}{1\ \cancel{mol}} = \color{blue}{7.3\cdot 10^{-2}\ g\ \ce{H2}}

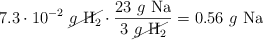
Mirando la reacción puedes relacionar la masa de hidrógeno con la masa de sodio, por ejemplo:

7.3\cdot 10^{-2}\ \cancel{g\ \ce{H2}}\cdot \frac{23\ g\ \ce{Na}}{3\ \cancel{g\ \ce{H2}}} = 0.56\ g\ \ce{Na}

Esto quiere decir que la aleación contiene, por lo tanto, 0.56 g de Na y 1.44 g de Fe.

a) La composición centesimal de la aleación:

\frac{0.56\ \cancel{g}}{2\ \cancel{g}}\cdot 100 = \fbox{\color{red}{\bf 28\%\ (\ce{Na})}}


(100 - 28)\% = \fbox{\color{red}{\bf 72\%\ (\ce{Fe})}}


b) Ahora debes hacer la relación con las masas de los productos sólidos obtenidos:

7.3\cdot 10^{-2}\ \cancel{g\ \ce{H2}}\cdot \frac{58.5\ g\ \ce{NaCl}}{3\ \cancel{g\ \ce{H2}}} = \fbox{\color{red}{\bf 1.42\ g\ \ce{NaCl}}}


7.3\cdot 10^{-2}\ \cancel{g\ \ce{H2}}\cdot \frac{127\ g\ \ce{FeCl2}}{3\ \cancel{g\ \ce{H2}}} = \fbox{\color{red}{\bf 3.10\ g\ \ce{FeCl2}}}


La masa sólida formada es la suma de ambas, es decir, \fbox{\color{red}{\bf 4.52\ g}}