Composición centesimal del óxido de magnesio (4756)

, por F_y_Q

Una alumna quiere saber la composición definida del óxido de magnesio. Para ello quema un trozo de magnesio de masa conocida obteniendo los siguientes datos:

Antes de la reacción. Masa de magnesio: 0.62 g.

Después de la reacción. Masa de óxido obtenida: 1.02 g.

¿Puedes ayudarla a establecer la relación entre las masas de las sustancias que reaccionan?

P.-S.

En química, el término «quemar» significa que se añade oxígeno como reactivo. La reacción que se establece es:

\color[RGB]{2,112,20}{\textbf{\ce{Mg(s) + \frac{1}{2}O2(g) -> MgO(s)}}}

Dado que la proporción entre las masas de magnesio y oxígeno ha de ser constante, si conoces qué cantidad de oxígeno ha reaccionado puedes calcular la proporción definida que busca la alumna. Para ello, aplicas la ley de la conservación de la materia:

0.62 + x = 1.02\ \to\ \color[RGB]{0,112,192}{\bf x = 0.40\ g}

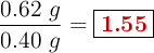
Los 0.62 g de magnesio han reaccionado con 0.40 g de oxígeno. La relación entre las masas es:

\frac{0.62\ g}{0.40\ g} = \fbox{\color[RGB]{192,0,0}{\bf 1.55}}


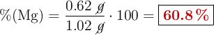
El porcentaje de magnesio es:

\%(\ce{Mg}) = \frac{0.62\ \cancel{g}}{1.02\ \cancel{g}}\cdot 100 = \fbox{\color[RGB]{192,0,0}{\bf 60.8\ \%}}


El porcentaje de oxígeno lo puedes obtener por diferencia:

\%(\ce{O}) = (100 - 60.8) = \fbox{\color[RGB]{192,0,0}{\bf 39.2\ \%}}