Comparación de velocidades (4098)

, por F_y_Q

Si un cuerpo se mueve con velocidad constante de 108 km/h y otro con velocidad constante de 30 m/s, ¿tienen ambos la misma velocidad?

P.-S.

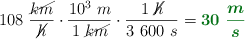
Debes convertir ambas velocidades a la misma unidad para poder compararlas. Lo más acertado es trabajar en unidad SI:

108\ \frac{\cancel{km}}{\cancel{h}}\cdot \frac{10^3\ m}{1\ \cancel{km}}\cdot \frac{1\ \cancel{h}}{3\ 600\ s} = \color[RGB]{2,112,20}{\bm{30\ \frac{m}{s}}}


Esto quiere decir que sí tienen la misma velocidad.