Comparación de movimiento rectilíneos uniformes 0001

, por F_y_Q

Dos móviles A Y B se desplazan con MRU y velocidades respectivas de 40 km/h y 124 mi/min.

a) ¿Cuál es el más rápido?

b) ¿Qué tiempo tardarían en recorrer 100 metros?

P.-S.

Dado que debemos saber el tiempo que tardarán en recorrer 100 m, vamos a convertir las velocidades de ambos móviles a unidades SI, es decir, a m/s:
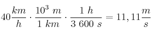
40\frac{km}{h}\cdot \frac{10^3\ m}{1\ km}\cdot \frac{1\ h}{3\ 600\ s} = 11,11\frac{m}{s}
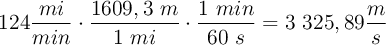
124\frac{mi}{min}\cdot \frac{1609,3\ m}{1\ mi}\cdot \frac{1\ min}{60\ s} = 3\ 325,89\frac{m}{s}
El móvil B es mucho más rápido que el móvil A.
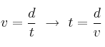
Para saber el tiempo que emplearán en recorrer los 100 m:
v = \frac{d}{t}\ \to\ t = \frac{d}{v}

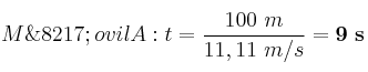
M\’ovil A: t = \frac{100\ m}{11,11\ m/s} = \bf 9\ s


M\’ovil B: t = \frac{100\ m}{3\ 325,89\ m/s} = \bf 0,03\ s