Combustión de gasolina: reactivo limitante 0001

, por F_y_Q

Cuando se queman por completo 500 g de gasolina C_8H_{18}:

a) ¿Qué volumen de CO_2 se produce a la presión atmosférica y a una temperatura de 18^oC?

b) Si reaccionan 320 g de O_2 con la cantidad mencionada de gasolina, ¿cuántos gramos de CO_2 y H_2O se producirán realmente?

P.-S.

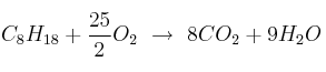
En primer lugar vamos a ajustar la reacción de combustión de la gasolina:

C_8H_{18} + \frac{25}{2}O_2\ \to\ 8CO_2 + 9H_2O


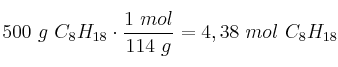
Los 500 g de gasolina, expresados en mol, son:

500\ g\ C_8H_{18}\cdot \frac{1\ mol}{114\ g} = 4,38\ mol\ C_8H_{18}


Aplicamos la estequiometría de la reacción:

4,38\ mol\ C_8H_{18}\cdot \frac{8\ mol\ CO_2}{1\ mol\ C_8H_{18}} = 35,04\ mol\ CO_2


El volumen se calcula a partir de la ecuación de los gases ideales:

PV = nRT\ \to\ V = \frac{nRT}{P} = \frac{35,04\ mol\cdot 0,082\frac{atm\cdot L}{K\cdot mol}\cdot 291\ K}{1\ atm} = \bf 836,12\ L\ CO_2


Si son 320 g de oxígeno los que reaccionan, tendremos que ver quién se acaba antes, si el oxígeno o la gasolina (reactivo limitante). Para ello debemos convertir en mol la masa de oxígeno:

320\ g\ O_2\cdot \frac{1\ mol}{32\ g} = 10\ mol\ O_2


En este caso los 4,38 mol de gasolina reaccionan con 10 mol de oxígeno. Si aplicamos la estequiometría de la reacción veremos que se acaba antes el oxígeno que la gasolina, ya que reaccionan 12,5 mol de oxígeno por cada mol de gasolina. Debemos calcular la masa de productos a partir de los moles de oxígeno, por ser el reactivo limitante:
10\ mol\ O_2\cdot \frac{8\ mol\ CO_2}{12,5\ mol\ O_2} = 6,4\ mol\ CO_2
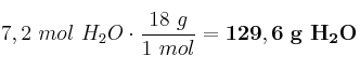
10\ mol\ O_2\cdot \frac{9\ mol\ H_2O}{12,5\ mol\ O_2} = 7,2\ mol\ H_2O
Convertimos a masa ambos datos:

6,4\ mol\ CO_2\cdot \frac{44\ g}{1\ mol} = \bf 281,6\ g\ CO_2


7,2\ mol\ H_2O\cdot \frac{18\ g}{1\ mol} = \bf 129,6\ g\ H_2O