Cantidad de soluto y disolvente en una disolución 0001

, por F_y_Q

Calcula la cantidad de sosa cáustica (NaOH) y de agua que se necesitan para preparar 5 L de una disolución al 20\% (m/m), cuya densidad es 1,219 g/mL

P.-S.

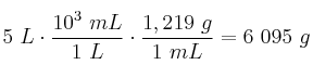
Al ser 5 L de disolución debemos calcular la masa de disolución para poder aplicar la concentración porcentual. Para ello usamos el dato de la densidad:

5\ L\cdot \frac{10^3\ mL}{1\ L}\cdot \frac{1,219\ g}{1\ mL} = 6\ 095\ g


Por cada 100 g de disolución que se consideren, debe haber 20 g de soluto:

6\ 095\ g\ D\cdot \frac{20\ g\ NaOH}{100\ g\ D} = \bf 1\ 219\ g\ NaOH