Cambios de unidad con factores de conversión (2710)

, por F_y_Q

Realiza los siguientes cambios de unidades:

a) 800 mililitros a centilitros

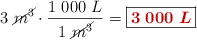
b) 3 m ^3 a litros

c) 6 700 gramos a kilogramos

d) 300 litros a dm ^3

e) 500 mililitros a cm ^3

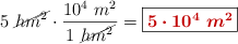
f) 5 hm ^2 a m ^2

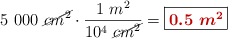
g) 5 000 cm ^2 a m ^2

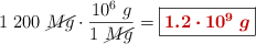
h) 1 200 Mg a g

P.-S.

Para hacer las conversiones debes tener en cuenta las tablas de múltiplos y submúltiplos y su equivalencia en notación científica:


a) 800\ \cancel{mL}\cdot \frac{1\ cL}{10\ \cancel{mL}} = \fbox{\color[RGB]{192,0,0}{\bm{80\ cL}}}

b) 3\ \cancel{m^3}\cdot \frac{1\ 000\ L}{1\ \cancel{m^3}} = \fbox{\color[RGB]{192,0,0}{\bm{3\ 000\ L}}}

c) 6\ 700\ \cancel{g}\cdot \frac{1\ kg}{1\ 000\ \cancel{g}} = \fbox{\color[RGB]{192,0,0}{\bm{6.7\ kg}}}

d) 300\ \cancel{L}\cdot \frac{1\ dm^3}{1\ \cancel{L}} = \fbox{\color[RGB]{192,0,0}{\bm{300\ dm^3}}}

e) 500\ \cancel{mL}\cdot \frac{1\ cm^3}{1\ \cancel{mL}} = \fbox{\color[RGB]{192,0,0}{\bm{500\ cm^3}}}

f) 5\ \cancel{hm^2}\cdot \frac{10^4\ m^2}{1\ \cancel{hm^2}} = \fbox{\color[RGB]{192,0,0}{\bm{5\cdot 10^4\ m^2}}}

g) 5\ 000\ \cancel{cm^2}\cdot \frac{1\ m^2}{10^4\ \cancel{cm^2}} = \fbox{\color[RGB]{192,0,0}{\bm{0.5\ m^2}}}

h) 1\ 200\ \cancel{Mg}\cdot \frac{10^6\ g}{1\ \cancel{Mg}} = \fbox{\color[RGB]{192,0,0}{\bm{1.2\cdot 10^9\ g}}}


RESOLUCIÓN DEL EJERCICIO EN VÍDEO.