Cálculo estequiométrico a partir de la masa 0001

, por F_y_Q

¿Cuántos gramos de ácido nítrico (HNO_3) se necesitan para producir 8,75 g de monóxido de dinitrógeno (N_2O) de acuerdo con la siguiente ecuación? Busca los datos que necesites en tu tabla periódica.

4Zn + 10HNO_3\ \to\ 4Zn(NO_3)_2+ N_2O + 5H_2O

P.-S.

Las masas moleculares del ácido nítrico y del monóxido de dinitrógeno son:
HNO_3 = 1\cdot 1 + 1\cdot 14 + 3\cdot 16 = 63\frac{g}{mol}
N_2O = 2\cdot 14 + 1\cdot 16 = 44\frac{g}{mol}
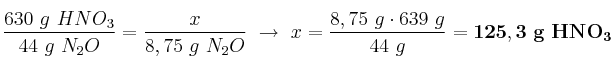
Según la reacción dada, 630 g de HNO_3 (porque son 10 moles), dan lugar a 44 g de N_2O (porque es solo 1 mol). Hacemos una proporción:

\frac{630\ g\ HNO_3}{44\ g\ N_2O} = \frac{x}{8,75\ g\ N_2O}\ \to\ x = \frac{8,75\ g\cdot 639\ g}{44\ g} = \bf 125,3\ g\ HNO_3