Cálculo de la normalidad de disoluciones 0001

, por F_y_Q

Calcula la normalidad de una disolución formada por 23 g de cada una de las siguientes sustancias en 150 mL de agua: a) HClO_3 ; b) H_2S

P.-S.

La masa equivalente de una especie es la masa molecular dividida por el número de H u OH que posee el ácido o base considerado. En el ejercicio nos dan dos ácidos con 1 y 2 hidrógenos respectivamente:
M_{eq}(HClO_3) = \frac{1\cdot 1 + 1\cdot 35,5 + 3\cdot 16}{1} = 84,5\frac{g}{eq}
M_{eq}(H_2S) = \frac{2\cdot 1 + 1\cdot 32}{2} = 17\frac{g}{eq}
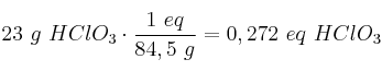
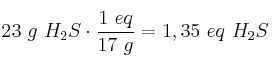
Ahora convertimos en equivalentes la masa que nos indican:
23\ g\ HClO_3\cdot \frac{1\ eq}{84,5\ g} = 0,272\ eq\ HClO_3
23\ g\ H_2S\cdot \frac{1\ eq}{17\ g} = 1,35\ eq\ H_2S
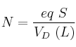
Ahora solo tenemos que aplicar la expresión para el cálculo de la normalidad N = \frac{eq\ S}{V_D\ (L)}:

N_{HClO_3} = \frac{0,272\ eq}{0,15\ L} = \bf 1,81\ N


N_{H_2S} = \frac{1,35\ eq}{0,15\ L} = \bf 9\ N