Cálculo con densidad 0001

, por F_y_Q

El aluminio tiene una densidad de 2,70 g/mL. ¿Cuál es la masa de un bloque rectangular de aluminio que tiene las dimensiones de 12 centímetros por 10 centímetros por 9 centímetros?

P.-S.

Dadas las dimensiones podemos calcular el volumen de aluminio:

V = 12\ cm\cdot 10\ cm\cdot 9\ cm = 1080\ cm^3


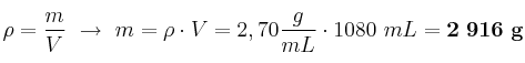
Debemos tener en cuenta que un centímetro cúbico es lo mismo que un mililitro. Ahora podemos determinar la masa:

\rho = \frac{m}{V}\ \to\ m = \rho \cdot V = 2,70\frac{g}{mL}\cdot 1080\ mL = \bf 2\ 916\ g