Aumento ebulloscópico y descenso crioscópico en una disolución de benceno (2839)

, por F_y_Q

¿Cuáles son el punto de ebullición y el punto de congelación de una disolución de naftaleno 2.47 m en benceno? El punto de ebullición y el punto de congelación del benceno son 80.1\ ^oC y 5.5\ ^oC, respectivamente. Datos:

Constante ebulloscópica del benceno: k_b = 2.53\ ^oC\cdot kg\cdot mol^{-1}

Constante crioscópica del benceno: k_c = 5.12\ ^oC\cdot kg\cdot mol^{-1}

Factor de Van’t Hoff para el naftaleno en benceno i = 1.

P.-S.

El aumento ebulloscópico sigue la ecuación (\Delta T_b  = T_b - T^{\prime}_b), siendo T _b la temperatura de ebullición de la disolución y T^{\prime}_b la temperatura de ebullición del disolvente puro.

La variación de la temperatura también la puedes determinar por medio de la expresión:

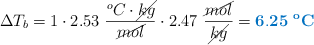
\color[RGB]{2,112,20}{\bm{\Delta T_b  = i\cdot k_b\cdot m}}

(siendo i el factor de Van’t Hoff, k _b es la constante ebulloscópica y m la molalidad de la disolución).

\Delta T_b = 1\cdot 2.53\ \frac{^oC\cdot \cancel{kg}}{\cancel{mol}}\cdot 2.47\ \frac{\cancel{mol}}{\cancel{kg}} = \color[RGB]{0,112,192}{\bf 6.25\ ^oC}

Ahora puedes calcular la temperatura de ebullición de la disolución despejando de la primera ecuación:

T_b = \Delta T_b + T^{\prime}_b = (6.25 + 80.1)\ ^oC = \fbox{\color[RGB]{192,0,0}{\bm{86.4\ ^oC}}}


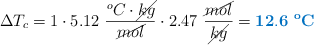
De manera análoga puedes calcular el descenso crioscópico teniendo en cuenta que este descenso sigue la ecuación (\Delta T_c = T^{\prime}_c - T_c). La temperatura de fusión será:

\Delta T_c = 1\cdot 5.12\ \frac{^oC\cdot \cancel{kg}}{\cancel{mol}}\cdot 2.47\ \frac{\cancel{mol}}{\cancel{kg}} = \color[RGB]{0,112,192}{\bf 12.6\ ^oC}

El punto de congelación es:

T_c = T^{\prime}_c - \Delta T_c = (5.5 - 12.6)\ ^oC = \fbox{\color[RGB]{192,0,0}{\bm{-7.1\ ^oC}}}


Descarga el enunciado y la resolución del problema en formato EDICO si lo necesitas.