Átomos de hidrógeno en una masa de propano (2764)

, por F_y_Q

¿Cuántos átomos de hidrógeno están contenidos en 5 gramos de propano?

Datos: H = 1 ; C = 12

P.-S.

El propano es \ce{C3H8} y su masa molecular es:

M_{\ce{C3H8}} = 3\cdot 12 + 8\cdot 1 = \color[RGB]{0,112,192}{\bm{44\ g\cdot mol^{-1}}}

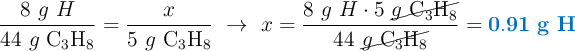
Eso quiere decir que contiene 8 g de H por cada 44 g de propano. Si haces la proporción para los gramos de propano indicados en el enunciado, podrás obtener los gramos de hidrógeno contenidos:

\frac{8\ g\ H}{44\ g\ \ce{C3H8}} = \frac{x}{5\ g\ \ce{C3H8}}\ \to\ x = \frac{8\ g\ H\cdot 5\ \cancel{g\ \ce{C3H8}}}{44\ \cancel{g\ \ce{C3H8}}} = \color[RGB]{0,112,192}{\bf 0.91\ g\ H}}

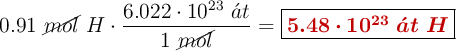
Como la masa atómica del H es 1 g/mol, habrá 0.91 mol de H. Aplicas la definición de mol para obtener los átomos de hidrógeno:

0.91\ \cancel{mol}\ H\cdot \frac{6.022\cdot 10^{23}\ \acute{a}t}{1\ \cancel{mol}} = \fbox{\color[RGB]{192,0,0}{\bm{5.48\cdot 10^{23}\ \acute{a}t\ H}}}