Aplicación del análisis dimensional 0001

, por F_y_Q

La rapidez de un objeto está dada por la ecuación v= A\cdot t^2 - B\cdot t donde t es el tiempo. ¿Cuáles son las dimensiones de A y de B?

P.-S.

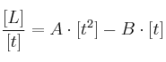
Las ecuaciones han de ser homogéneas. Eso quiere decir que ambos miembros deben tener las mismas dimensiones. Si escribimos la ecuación dada en forma de dimensiones tenemos:

\frac{[L]}{[t]} = A\cdot [t^2] - B\cdot [t]


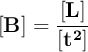
En el segundo miembro, cada factor de la "resta" debe tener las mismas dimensiones que el primer miembro, por lo tanto las dimensiones de A y de B serán:
\bf[A] = \frac{[L]}{[t^3]} y \bf[B] = \frac{[L]}{[t^2]}
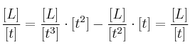
De esta manera, al efectuar las operaciones, obtenemos:

\frac{[L]}{[t]} =\frac{[L]}{[t^3]}\cdot [t^2] -\frac{[L]}{[t^2]}\cdot [t] =\frac{[L]}{[t]}


Siendo homogénea la expresión.