Aplicación de las leyes de los gases 0001

, por F_y_Q

Cierta cantidad de amoniaco ocupa un volumen de 2 000 mL a una presión de 589 torr y una temperatura de 68 ºC, ¿cuál será el volumen en condiciones normales?

P.-S.

Este problema se puede hacer de dos modos distintos. Vamos a plantear ambas formas de resolverlo para que puedan servir de aclaración de ciertas dudas.
PRIMERA MANERA
Si aplicamos la ecuación general de los gases:

\frac{P_1\cdot V_1}{T_1} = \frac{P_2\cdot V_2}{T_2}\ \to\ V_2 = \frac{P_1\cdot V_1\cdot T_2}{T_1\cdot P_2} = \frac{589\ torr\cdot 2\ 000\ mL\cdot 273\ K}{341\ K\cdot 760\ torr} = \bf 1241\ mL


Recordemos que las condiciones normales son 273 K y 1 atm = 760 torr.
SEGUNDA MANERA
Podemos calcular el número de moles de amoniaco que corresponden a los datos del enunciado, a partir de la ecuación de los gases perfectos:

PV = nRT\ \to\ n = \frac{PV}{RT} = \frac{\frac{589\ torr}{760\ torr/atm}\cdot 2\ L}{0,082\frac{atm\cdot L}{K\dot mol}\cdot 341\ K} = \bf 5,54\cdot 10^{-2}\ mol


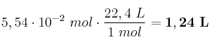
Ahora solo debemos tener en cuenta que, en condiciones normales, un mol de un gas ocupa 22,4 L:

5,54\cdot 10^{-2}\ mol\cdot \frac{22,4\ L}{1\ mol} = \bf 1,24\ L