Aplicación de la ecuación de los gases ideales (2033)

, por F_y_Q

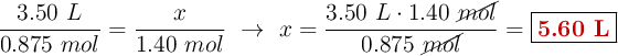
Tenemos 3.50 L de un gas que sabemos corresponde a 0.875 mol. Inyectamos gas al recipiente hasta llegar a 1.40 mol. ¿Cuál será el nuevo volumen del gas? (La temperatura y la presión se mantienen constantes).

P.-S.

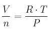
Si partes de la ecuación de un gas ideal (P\cdot V = n\cdot R\cdot T), y teniendo en cuenta que P y T permanecen constantes, puedes agrupar la ecuación de la siguiente manera:

\frac{V}{n} = \frac{R\cdot T}{P}

Observa que el segundo miembro de la ecuación es constante. Esto quiere decir que el cociente (\textstyle{V\over n}) siempre toma el mismo valor en este problema. Ahora puedes hacer el siguiente planteamiento:

\color[RGB]{2,112,20}{\bm{\frac{V_1}{n_1} = \frac{V_2}{n_2}}}

Como el cociente entre el volumen y la cantidad de sustancia debe tener siempre el mismo valor, basta con sustituir los datos del enunciado y calcular:

\frac{3.50\ L}{0.875\ mol} = \frac{x}{1.40\ mol}\ \to\ x = \frac{3.50\ L\cdot 1.40\ \cancel{mol}}{0.875\ \cancel{mol}} = \fbox{\color[RGB]{192,0,0}{\bf 5.60\ L}}