Aplicación de la Ley de Ohm 0002

, por F_y_Q

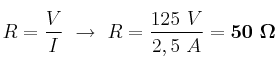
Calcula la resistencia eléctrica de un alambre conductor si sabemos que circula una intensidad de corriente de 2,5 A cuando se aplica a sus extremos un voltaje de 125 V.

P.-S.

Para ello vamos a aplicar la ley de Ohm: I = \frac{V}{R}
Despejando de la ecuación anterior:

R = \frac{V}{I}\ \to\ R = \frac{125\ V}{2,5\ A} = \bf 50\ \Omega