Aplicación de densidad y notación científica 0001

, por F_y_Q

Una estrella de neutrones tiene un radio de 5 km y una masa de 2\cdot 10^{30\ kg}. ¿Cuánto pesaría un volumen de 1\ cm^3 de esa estrella bajo la influencia de la atracción gravitacional en la superficie de la Tierra?

P.-S.

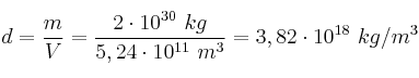
Vamos a calcular la densidad de esa estrella de neutrones. Para ello necesitamos conocer el volumen de la estrella. Si la consideramos esférica:

V_{esfera} = \frac{4}{3}\pi R^3 = \frac{4}{3}\pi (5\ 000\ m)^3 = 5,24\cdot 10^{11}\ m^3


La densidad de la estrella será:

d = \frac{m}{V} = \frac{2\cdot 10^{30}\ kg}{5,24\cdot 10^{11}\ m^3} = 3,82\cdot 10^{18}\ kg/m^3


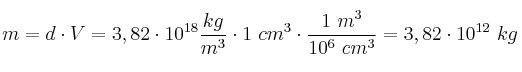
Si consideramos sólo 1 cm^3 de la estrella, su masa sería:

m = d\cdot V = 3,82\cdot 10^{18}\frac{kg}{m^3}\cdot 1\ cm^3\cdot \frac{1\ m^3}{10^6\ cm^3} = 3,82\cdot 10^{12}\ kg


Es decir, un mililitro de esa estrella tendría una masa de 3,82 billones de kilogramos. El peso de esa porción de estrella sería:

p = m\cdot g = 3,82\cdot 10^{12}\ kg\cdot 9,8\frac{m}{s^2} = \bf 3,74\cdot 10^{13}\ N